試驗說明:在分析中僅使用確認為分析純的試劑和GB/T6682—2008中規定的水。分析中所用標準滴定溶液、雜質測定用標準溶液、制劑及制品,在沒有注明其他要求時,均按GB/T601、GB/T602、GB/T603的規定制備。本試驗所用溶液在未注明用何種溶劑配制時,均指水溶液。
雙乙酸鈉品質鑒別方法
鑒別試驗
取鉑絲,蘸取鹽酸,在無色火焰上燃燒呈無色后,蘸取試樣,在無色火焰中燃燒,火焰即顯亮黃色。
將試樣配成100mg/mL的水溶液,與硫酸及乙醇共熱時,產生乙酸乙酯的特殊氣味。試樣的中性水溶液遇氯化鐵溶液(90g/L),呈深紅色。
游離乙酸的測定
試劑和材料:氫氧化鈉標準滴定溶液:c(NaoH)=1moI/L。酚酞指示液:10g/L。
分析步驟
稱取約4g試樣(精確至0.0001g),置于250mL錐形瓶中,加入50mL水,使試樣完全溶解。加入2滴酚酞指示液,用氫氧化鈉標準滴定溶液滴定至微紅色,保持30s不退色即為終點。記下所消耗氫氧化鈉標準滴定溶液的毫升數。
結果計算
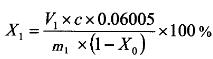
游離乙酸的含量按公式(A.1)計算。

式中:
V1—試樣消耗氫氧化鈉標準滴定溶液的體積,單位為毫升(mL);
C—氫氧化鈉標準滴定溶液的實際濃度,單位為摩爾每升(mol/L);
0.06005—與1.00mL氫氧化鈉標準滴定溶液[c(NaOH)=1.00mol/L]相當的以克表示的乙酸的質量;
m1—試樣的質量,單位為克(g)。
X0—實測試樣中水分的含量,%
檢測結果以平行測定結果的算術平均值為準。兩次平行測定結果之差不大于0.2%。
乙酸鈉的測定
試劑和材料:鄰苯二甲酸氫鉀:基準試劑、冰乙酸、高氯酸標準滴定溶液:c(HCIO4)=0.1mol/L,按GB/T601—2002中規定的方法(方法一)配制,按下法標定:
稱取約0.36g(精確至0.0001g于(105~110)℃的烘箱中干燥至恒重的基準試劑鄰苯二甲酸氫鉀,置于干燥的滴定杯中,加入40mL冰乙酸,攪拌,溶解。用配制好的高氯酸標準滴定溶液滴定,用電位滴定儀確定滴定終點。
平行測定兩次結果的算術平均值為測定結果。同時記錄高氯酸標準滴定溶液的溫度值t。
儀器和設備
電位滴定儀:自動電位滴定儀或相當精度的其他儀器。
復合玻璃電極:非水相酸堿滴定玻璃電極,使用Ag/AgCl或甘汞電極作為參考,測量范圍±2050.0mV,分辨率0.1mV,最大允許誤差0.1%?;蛳喈斁鹊钠渌姌O。
分析步驟
使用高氯酸標準滴定溶液時的溫度應與標定時的溫度相同,若溫度不相同,應將高氯酸標準滴定溶液的濃度按公式(A.3)修正到使用溫度下的濃度,并輸入儀器中。
測定
稱取約0.25g試樣(精確至0.0001g),置于干燥的滴定杯中,加入40mL冰乙酸,攪拌,溶解,此為試樣液。用高氯酸標準滴定溶液滴定試樣液,用電位滴定儀確定滴定終點。